Спутник TESS обнаружил новую экзопланету

Спутник TESS обнаружил новую экзопланету

Используя спутник NASA Transiting Exoplanet Survey Satellite (TESS), международная группа астрономов обнаружила новую экзопланету, которая является горячим юпитером. Планета, которая почти в три раза массивнее Юпитера, вращается вокруг звезды TOI-778. Об открытии сообщается в статье, опубликованной 16 декабря на сервере предварительной печати arXiv.

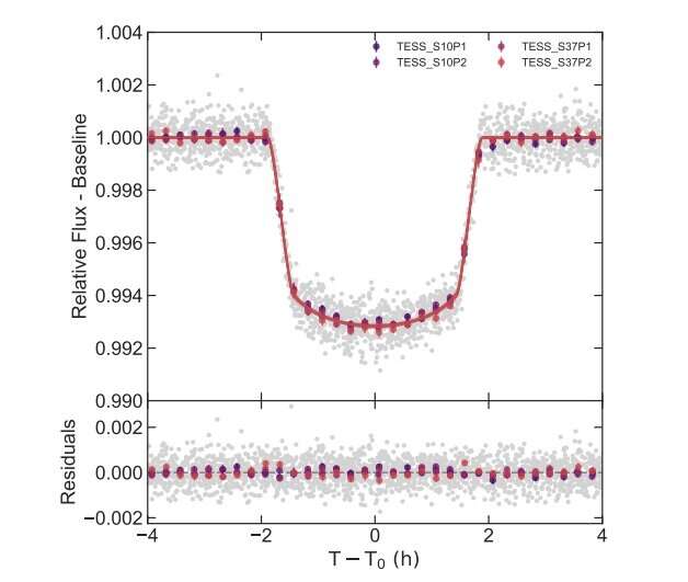
Группа исследователей во главе с Джейком Т. Кларком из Университета Южного Квинсленда недавно сообщила о том, что был обнаружен транзитный сигнал на кривой блеска быстро вращающейся карликовой звезды класса F3V, обозначенной как TOI-778 (также известной как HD 115447). Планетарный характер сигнала был подтверждён последующей наземной фотометрией и измерениями скорости.

Обнаруженная планета TOI-778 b имеет радиус равный 1,37 радиуса Юпитера. Она примерно в 2,8 раза массивнее самой большой планеты Солнечной системы. TOI-778 b обращается вокруг родительской звезды каждые 4,63 дня на расстоянии около 0,06 а.е. Равновесная температура планеты оценивается примерно в 1561 К.

Читать также:
Сияющие протозвезды и темные облака сталкиваются в звездных яслях

Астрономы классифицировали планету как горячий юпитер, однако TOI-778 b кажется несколько раздутой по сравнению с другими горячими юпитерами аналогичной массы.

Скорость вращения звезды TOI-778 составляет почти 40 км/с. Звезда примерно на 71% больше и на 40% массивнее Солнца. Исследователи подсчитали, что TOI-778 около 1,95 миллиарда лет, а её эффективная температура составляет около 6700-6800 К. Звезда находится на расстоянии около 528 световых лет.