Ученые исследовали две экзопланеты, вращающиеся вокруг М-карлика GJ 1002

Ученые исследовали две экзопланеты, вращающиеся вокруг М-карлика GJ 1002

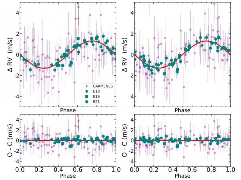
Используя метод измерения радиальной скорости, международная группа астрономов обнаружила две новые экзопланеты, вращающиеся вокруг M-карлика GJ 1002. Планеты имеют массы аналогичные массе Земли, и находятся в обитаемой зоне родительской звезды. Об этом открытии сообщается в статье, опубликованной в журнале Astronomy & Astrophysics.

Группа астрономов во главе с Алехандро Суаресом Маскареньо из Университета Ла-Лагуны сообщила об обнаружении двух новых планет в результате измерений радиальной скорости M-карлика GJ 1002. Наблюдения, которые привели к открытию, были проведены с помощью спектрографов ESPRESSO и CARMENES.

Обнаруженные экзопланеты получили обозначения GJ 1002 b и GJ 1002 c. Они вращаются вокруг GJ 1002 в пределах обитаемой зоны. Звезда находится всего в 15,78 световых годах от нас.

Согласно исследованию, GJ 1002 b имеет минимальную массу около 1,08 массы Земли. Она обращается вокруг своей родительской звезды каждые 10,35 дня на расстоянии около 0,0457 а.е. Равновесная температура планеты оценивается в 230,9 К.

Читать также:
Ученые посчитали, сколько шаровых скоплений украл Млечный путь у галактик-компаньонов

GJ 1002 c, по-видимому, немного массивнее, чем GJ 1002 b, поскольку ее минимальная масса была рассчитана как 1,36 массы Земли. Экзопланета находится примерно на 0,074 а.е. от родительской звезды, а ее орбитальный период составляет 21,2 дня. Равновесная температура GJ 1002 c находится на уровне 181,7 K. Астрономы добавили, что она может быть хорошим кандидатом для дальнейшей характеристики атмосферы.

Родительская звезда GJ 1002 является слабым М-карликом спектрального класса M5.5V. Она имеет радиус около 0,137 солнечных радиусов, а ее масса составляет приблизительно 0,12 массы Солнца. Эффективная температура звезды равна 3024 К, а ее металличность находится на уровне около -0,25.

Исследователи отметили, что, возможно, в обитаемой зоне GJ 1002 есть дополнительные планеты земной массы.